The Chiba Medical Society

Links

Chiba Medical J. 100E:21-28, 2024

doi:10.20776/S03035476-100E-3-P21

Original Article

Perioperative management for patients with lung cancer on dialysis: a retrospective study

Abstract

【Background】The number of patients with lung cancer undergoing hemodialysis is increasing owing to an aging population. Outcomes following pulmonary resection in patients on hemodialysis are known to show a high rate of complications and poor prognosis. In patients with serious complications or poor general health, sublobar resection may be performed empirically. This study examined the perioperative complications and outcomes of patients with lung cancer undergoing hemodialysis.
【Methods】We retrospectively reviewed 1643 patients who underwent pulmonary resection for primary lung cancer at our institution between 2008 and 2018. Among these, 15 patients were undergoing maintenance hemodialysis at the time of surgery. The clinicopathological characteristics and clinical information of these patients were evaluated.
【Results】The hemodialysis group had a higher percentage of diabetes than the no hemodialysis group. Three patients (20%) underwent wedge resection, three (20%) underwent segmentectomy, and nine (60%) underwent lobectomy. Patients underwent hemodialysis the day after surgery, with the aim to remove fluid aggressively. Ten patients (67%) were able to dehydrate to preoperative body weight levels or less. Thirteen (87%) patients had pathological stage I and six (40%) experienced postoperative complications; however, their 90-day mortality rate was 0%. The percentage of sublobar resection tended to be higher than previously reported. The 5-year overall survival and recurrence-free survival rates were 80.0% and 66.7%, respectively in the 15 patients.
【Conclusion】Surgical complications may be tolerated in patients on hemodialysis who undergo lung resection if surgical procedures are appropriately selected and strict perioperative management is performed.

I.Introduction

The number of Japanese patients undergoing hemodialysis (HD) has increased annually, with improved outcomes due to advances in HD management1. As the number of patients undergoing HD who develop malignant tumors is increasing, cancer-related deaths among this population are also expected to concomitantly increase. Although radical pulmonary resection is the primary treatment for patients with early-stage lung cancer, the efficacy of sublobar resection for this condition has been recently reported2,3. However, only a few studies have assessed the outcomes of sublobar resection in patients undergoing maintenance HD.

In 2021, Saito et al.4reported postoperative outcomes for 95 lung cancer patients on maintenance dialysis; the 90-day mortality rate was 3.2%, and the 5-year survival rate was 52.9%. Of the 37 patients who died during the study period, 23 (62.2%) died of a non-lung cancer cause, which was significantly different from 36.5% in the control group. Among 95 cases, 22 (23.2%) underwent wedge resection and 9 (9.5%), segmentectomy; the ratio of wedge resection was significantly higher than that of the control group4.

Additionally, patients undergoing HD constitute a high-risk group requiring careful perioperative management to avoid electrolyte imbalance and hemodynamic instability.

We previously reported on the management of patients with lung cancer undergoing dialysis at our hospital in 20075. In the current study, we aimed to provide an update, with a focus on the current status of dialysis management and surgical outcomes, particularly surgical approaches.

II.Materials and methods

To provide an update on the management of patients with lung cancer undergoing dialysis, we conducted a retrospective review of the medical records of 1643 patients who underwent pulmonary resection for lung cancer at Chiba University Hospital between January 2008 and December 2018. Among these, 15 patients were undergoing maintenance HD at the time of surgery, as indicated by medical records. Data regarding clinicopathological features, HD duration, surgical details, postoperative complications, and pathological staging according to the TNM classification for lung cancer (7th edition) were collected.

Perioperative management
When patients undergoing HD were referred to our hospital, we contacted the physician in charge of HD to collect information regarding the patient, their conditions, and HD schedule. Subsequently, we communicated with the Department of Artificial Kidneys and the intensive care unit (ICU) at our hospital to schedule surgery and coordinate dialysis timing. Perioperative antibiotic dosage and timing were discussed with the pharmacy department and adjusted according to SANFORD guidelines. Nafamostat mesylate was used for HD for 1 week from the day before surgery to reduce the risk of posterior bleeding.

The indications for surgery and surgical procedures were discussed at a departmental presurgical conference. As we previously reported, the presence or absence of postoperative lymph node metastasis was evaluated to select appropriate candidates for sublobar resection6.

When performing a segmentectomy, we actively used endobronchial or intravenous indocyanine green injections to safely secure the margin7. The surgical risk was always evaluated; for example, cardiac function was assessed by the cardiology team, brain blood vessels were mapped by magnetic resonance imaging, and the presence or absence of interstitial pneumonia was determined.

HD strategy
Patients underwent HD and were dehydrated to their dry weight (DW), as defined by the dialysis hospital, the day before surgery. Postoperatively, patients were returned to the ICU, and blood gases were evaluated every 6 hours for electrolyte assessment. HD was then administered the day after surgery and three times each week thereafter. We aimed to remove fluid starting from the day after surgery and, if possible, set the DW to a new lower value. The patient’s condition was monitored for approximately one week postoperatively, and the dialysis schedule was adjusted with the home doctor before discharge.

Surgical procedures
The type of surgical procedure and approach were selected for each patient based on our strategy, which focused on two aspects: (1) the characteristics of the tumor, such as the type of cancer, location, TNM staging, and presence or absence of ground-glass opacity; and (2) the patient’s condition, including their respiratory function, performance status, medical history, and social situation. Sublobar resection was selected for patients with a low risk of lymph node metastasis, advanced age, poor respiratory function, or serious comorbidities.

Postoperative complications
Postoperative complications were determined from postsurgical medical records and were stratified according to the Clavien-Dindo (CD) classification, which categorizes surgical complications from grade I to V8.

Statistical Analysis
Patient characteristics were compared using the chi-square test or t-test, as appropriate. Survival curves were obtained using the Kaplan–Meier method and compared using the log-rank test. P-values < 0.05 were considered statistically significant. Statistical analyses were performed using EZR (Saitama Medical Center, Jichi Medical University, Saitama, Japan), a graphical user interface for R (R Foundation for Statistical Computing, Vienna, Austria).

III.Results

Table 1 shows the clinicopathological findings of all patients according to whether they were undergoing maintenance HD. The 15 patients who were undergoing HD (seven women and eight men) had a mean age of 68.8 (range, 46–79) years. In addition, 10 patients had a history of smoking, 8 had hypertension, and 6 had diabetes mellitus. The HD group had a higher proportion of diabetes mellitus patients than the no HD group. Additionally, there were 13 cases of clinical stage 0-I, 1 case of stage II, and 1 case of stage III. The median time to surgery was 159 (80–250) min, and the mean operative blood loss was 130 (0–545) g. There were no significant differences in background characteristics for most items between patients undergoing and not undergoing maintenance HD.

The clinicopathological findings and outcomes of the 15 patients undergoing HD are summarized in Table 2. The mean duration of HD before surgery was 6 (0–19) years. Three patients underwent wedge resection and three underwent segmentectomy. Six patients (40%) experienced postoperative complications requiring therapeutic intervention, defined as CD classification grade ≥ 2 (four cases were G2 and two were G3). The pathological stage of lung cancer was I in 13 patients and II and III in one patient each. The “difference from DW” shown in Table 2 indicates the difference between the body weight after dialysis on the day after surgery and the patient’s DW. Postoperatively, the body weight of six patients (40%) was lower than their DW. One patient developed postoperative hypotension, but no other complications could be attributed to aggressive fluid removal. The median follow-up time was 37 (10–91) months.

Four patients experienced recurrence during follow-up and three patients, including two with recurrence, died. Patient No. 1 experienced local recurrence after wedge resection and underwent resection of the residual tumor by lobectomy; although there was no obvious recurrence, she died 3 years later from an unknown cause. Patient No. 5 was a prostate cancer gene carrier and had surgically treated laryngeal cancer that left behind a permanent tracheal hole, as well as post-stenting for myocardial infarction; he underwent segmentectomy because of these comorbidities and was discharged safely, but experienced recurrence and died due to difficulties in additional treatment. Patient No. 7 underwent radiotherapy after lymph node recurrence and died without recurrence, and patient No. 11 was confirmed to have survived for 5 years, although he had liver metastasis recurrence.

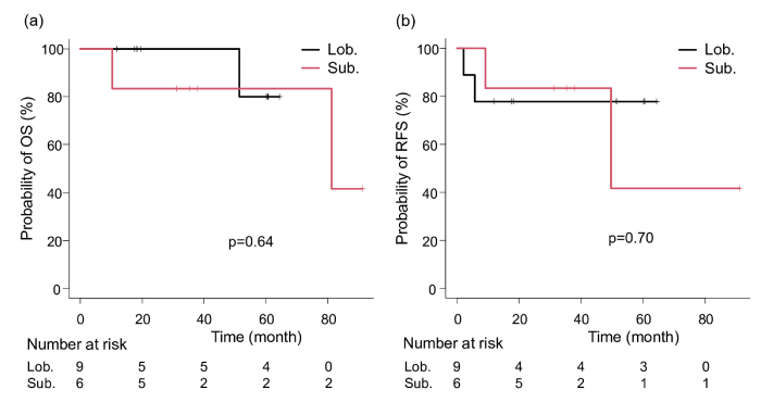
Among all 15 patients, the 90-day mortality rate was 0%, and the 5-year overall survival (OS) and recurrent-free survival (RFS) rates were 80.0% and 66.7%, respectively (Fig. 1 a, b). The 5-year OS/RFS rates among patients who underwent lobectomy were 80.0%/77.8%, and those among patients who underwent sublobar resection, 83.3%/41.7% (OS, p=0.64; RFS. P=0.70) (Fig. 2 a, b). There was no difference in outcomes between lobectomy and sublobar resection.

Table 1 Clinicopathological findings according to maintenance HD

Table 1

Table 2 Clinical outcomes of the 15 patients undergoing HD

Table 2

Fig. 1

Fig. 1 The OS and RFS curves for 15 patients. (a) The OS curve for all patients undergoing dialysis who underwent lung cancer surgery. (b) The RFS curve for all patients undergoing dialysis who underwent lung cancer surgery OS: overall survival, RFS: recurrence-free survival.

Fig. 2

Fig. 2 The OS and RFS curves for 15 patients according to surgical procedure status. (a) OS curves according to type of lung cancer surgery. (b) RFS curves according to type of lung cancer surgery. OS: overall survival; RFS: recurrence-free survival; Lob: lobectomy; Sub: sublobar resection.

IV.Discussion

This study’s results suggest that sublobar resection may be a suitable option for patients with lung cancer undergoing dialysis. In recent years, there have been numerous reports suggesting the efficacy of sublobar resection in patients with lung cancer2. Additionally, in reports on lung cancer associated with dialysis, the proportion of patients undergoing sublobar resection is higher than ever9,10. The 5-year survival rate among patients on dialysis was 60.8% in 20101. In the present study, the five-year OS rate was 80.0%, which was superior to that reported in previous studies, as well as the natural OS of patients undergoing dialysis (Table 3)5,9-19.

There are several potential explanations for the better prognosis in the present study. First, most of our patients with lung cancer were diagnosed with pathological stage I disease (86.7%). However, since a similarly high percentage of pathological stage I cases has been previously reported (Table 3), other potential explanations may be considered more viable. Second, the rate of sublobar resection was high in our study, at 40%. All six patients who underwent sublobar resection had pathological stage IA lung cancer, including three with wedge resection and three with segmentectomy. Postoperative lung cancer patients on maintenance dialysis have been reported to have significantly higher rates of non-lung cancer death4. In patients on maintenance dialysis, less invasive procedures such as sublobar resection may be effective in reducing non-lung cancer deaths and contributing to an improved prognosis. Third, there were no fatal complications or deaths within 90 days, although the number of cases with complications was high, at six (40%). In the present study, the high rate of sublobar resection, coordination with a dialysis management specialist, and observation of patients in the ICU for more than two days may have prevented life-threatening postoperative complications, which include acute exacerbation of interstitial pneumonia, brain bleeding, infection, and heart failure18.

In general, patients are empirically managed to have a body weight higher than their DW during the perioperative period to avoid postoperative hypotension. However, an increased fluid volume can exacerbate lung edema and heart failure. Thus, at our hospital, patients are managed to have a body weight lower than their DW whenever possible. This policy has been enforced strictly since 2011. Patient No. 1 and 2 had slightly larger values for the difference from DW because their surgeries were performed before 2011 (in 2008 and 2010, respectively). There were no cases of heart failure or pulmonary edema, and no major adverse events related to dehydration were observed. Our management of dehydration whenever possible may have led to a reduction in 90-day mortality.

To our knowledge, the present study is the first to report the efficacy of sublobar resection in patients with lung cancer undergoing maintenance HD. The possibility of reducing the risk of death from other diseases after sublobar resection compared to that with lobectomy has been reported2,3. Sublobar resection is not inferior to lobectomy for early-stage lung cancer in terms of disease-free survival20. However, the effectiveness of sublobar resection should be studied further to reduce the risk of death from other diseases in patients undergoing dialysis. In this study, comparisons between lobectomy and sublobar resection do not clarify the efficacy of sublobar resection because the patient characteristics are different, and it should be noted that the increase in the percentage of sublobar resection, including that reported thus far, has led to an improvement in outcomes. In a 2021 report, 5-year overall survival was lower with wedge resection compared to lobectomy (hazard ratio=1.58 p<0.001)4. However, this population was likely to include patients in poor general condition who were unable to undergo lobectomy, and since there was no mention of the results of wedge resection limited to the dialysis group, it is not possible to conclude that a sublobar resection is undesirable.

The present study has several limitations. First, this study had a small sample size. Among the 15 patients, there were cases of small cell lung cancer and lung cancer at different stages. Therefore, although a direct comparison of the prognosis between lobectomy and sublobar resection is not possible, the data in Figure 2 indicate that differences in surgical procedure did not significantly affect the prognosis. Second, as this was a retrospective study, the possibility of bias in patient selection cannot be ruled out, especially as no clear criteria for the surgical procedure have been established. Further studies with a larger number of patients, with more detailed investigations of the indications for the surgical procedure, and with prospectively randomized trials are needed to evaluate the efficacy of sublobar resection in patients on HD.

Lung cancer surgery in patients undergoing maintenance HD at our institution has provided favorable long-term results. Complications can be tolerated if appropriate cases are selected and strict perioperative management is provided. Therefore, sublobar resection may be a suitable option for patients with lung cancer undergoing dialysis.

Table 3 Surgical outcomes in studies on patients undergoing hemodialysis who underwent lung cancer surgery

Table 3

Contributors

HM (first author) was involved in study conceptualization, conducted the survey, performed the analysis, drafted the manuscript, and produced the figures and tables. HS (corresponding author) was involved in study conceptualization, revised the manuscript critically for important intellectual content, and supervised the work. All authors read and approved the final manuscript.

Financial support

There is no financial support associated with this report.

Conflict of interest

The authors declare that they have no competing interests.

Ethical approval

This study was approved by the Ethics Review Board for Clinical Studies at Chiba University Hospital (approval no. 3904). All experiments were performed following the government ethical guidelines and regulations based on the Declaration of Helsinki. The need for informed consent for each participant was waived by the Ethics Review Board for Clinical Studies at Chiba University Hospital because of the retrospective nature of the study and an opt-out option (guarantee of information disclosure and opportunity to refuse) provided on our institution’s website.

Data availability

Additional data are available via the corresponding author.

Acknowledgements

We would like to thank Editage (www.editage.jp) for English language editing.

References

  • 1) Masakane I, Taniguchi M, Nakai S, Tsuchida, K, Goto S, Wada A, Ogata S, Hasegawa T, Hamano T, Hanafusa N, Hoshino J, Minakuchi J, Nakamoto H, Itami N, Kawata T, Oyama C, Seino K, Sato T, Sato S, Ito M, Nakayama M, Ueda A, Yagisawa T, Ando T, Ogawa T, Kumagai H, Ogura M, Mochizuki T, Ando R, Okada K, Kashiwagi T, Hamada C, Shibagaki Y, Hirawa N, Kazama J, Ishida Y, Yokoyama H, Miyazaki R, Fukasawa M, Nagasawa M, Matsuoka T, Kato A, Mori N, Ito Y, Kasuga H, Koyabu S, Udu T, Hashimoto T, Inaba M, Hayashi T, Yamakawa T, Nishi S, Fujimori A, Yoneda T, Negi S, Nakaoka A, Ito T, Sugiyama H, Masaki T, Nitta Y, Hashimoto H, Yamanaka M, Kan M, Ota K, Tamura M, Mitsuiki K, Ikeda Y, Nishikido M, Miyata A, Tomo T, Fujimoto S, Nosaki T, Oshiro Y. (2018) Annual dialysis data report 2015, JSDT renal data registry. Renal Replace Therapy 4, 19.
  • 2) Saji H, Okada M, Tsuboi M, Nakajima R, Suzuki K, Aokage K, Aoki T, Okami J, Yoshino I, Ito H, Okumura N, Yamaguchi M, Ikeda N, Wakabayashi M, Nakamura K, Fukuda H, Nakamura S, Mitsudomi T, Watanabe SI. Asamura H. (2022) Segmentectomy versus lobectomy in small-sized peripheral non-small-cell lung cancer (JCOG0802/WJOG4607L) : a multicentre, open-label, phase 3, randomised, controlled, non-inferiority trial. Lancet 399, 1607-17.
  • 3) Yaldız D, Yakut FC, Örs Kaya Ş, Gürsoy S, Yaldız MS. (2020) The role of sublobar resection in T1 N0 non-small-cell pulmonary carcinoma. Turk Thorac J 21, 308-13.
  • 4) Saito T, Murakawa T, Shintani Y, Okami J, Miyaoka E, Yoshino I, Date H. (2022) Preoperative renal dysfunction and long-term survival after surgery for non-small cell lung cancer. J Thorac Cardiovasc Surg 164, 227-39. e6.
  • 5) Mizobuchi T, Nakajima T, Shibuya K, Mizobuchi T, Nakajima T, Shibuya K, Iyoda A, Suzuki M, Serine Y, Fujisawa T. (2007) Progress in treatments of complications associated with surgery in lung cancer patients on dialysis. Chirurgia (Bucur) 20, 221-4.
  • 6) Sakairi Y, Yoshino I, Yoshida S, Suzuki H, Tagawa T, Iwata T, Mizobuchi T. (2014) Pattern of metastasis outside tumor-bearing segments in primary lung cancer: rationale for segmentectomy. Ann Thorac Surg 97, 1694-700.
  • 7) Wada H, Yamamoto T, Morimoto J, Sakairi Y, Suzuki H, Nakajima T, Yoshino I. (2020) Near-infrared-guided pulmonary segmentectomy after endobronchial indocyanine green injection. Ann Thorac Surg 109, 396-403.
  • 8) Dindo D, Demartines N, Clavien PA. (2004) Classification of surgical complications: A new proposal with evaluation in a cohort of 6336 patients and results of a survey. Ann Surg 240, 205-13.
  • 9) Yamamoto Y, Kanzaki R, Ose N, Funakoshi Y, Ikeda N, Takami K, Iwasaki T, Iwazawa T, Yokouchi H, Shiono H, Kodama K, Shintani Y. (2020) Lung cancer surgery for patients on hemodialysis: A decade of experience at multicenter institutions. Ann Thorac Surg 109, 1558-65.
  • 10) Watanabe Y, Hattori A, Fukui M, Matsunaga T, Takamochi K, Oh S, Suzuki K. (2021) Postoperative complications and perioperative management in patients on hemodialysis undergoing lung resection. Gen Thorac Cardiovasc Surg 69, 478-86.
  • 11) Tsuchida M, Yamato Y, Aoki T, Watanabe T, Hashimoto T, Shinohara H, Hayashi J. (2001) Complications associated with pulmonary resection in lung cancer patients on dialysis. Ann Thorac Surg 71, 435-8.
  • 12) Ciriaco P, Casiraghi M, Melloni G, Carretta A, Libretti L, Augello G, Zannini P. (2005) Pulmonary resection for non-small-cell lung cancer in patients on hemodialysis: clinical outcome and long-term results. World J Surg 29, 1516-9.
  • 13) Obuchi T, Hamanaka W, Yoshida Y, Yanagisawa J, Hamatake D, Shiraishi T, Iwasaki A. (2009) Clinical outcome after pulmonary resection for lung cancer patients on hemodialysis. Ann Thorac Surg 88, 1745-8.
  • 14) Takahama M, Yamamoto R, Nakajima R, Tsukioka T, Tada H. (2010) Pulmonary resection for lung cancer patients on chronic hemodialysis: clinical outcome and long-term results after operation. Interact Cardiovasc Thorac Surg 11, 150-3.
  • 15) Matsuoka K, Kuroda A, Kang A, Imanishi N, Nagai S, Ueda M, Miyamoto Y. (2013) Video-assisted thoracoscopic surgery for lung cancer in patients on hemodialysis. Ann Thorac Cardiovasc Surg 19, 263-7.
  • 16) Park BJ, Shin S, Kim HK, Choi YS, Kim J, Shim YM. (2015) Surgical treatment for non-small cell lung cancer in patients on hemodialysis due to chronic kidney disease: clinical outcome and intermediate-term results. Korean J Thorac Cardiovasc Surg 48, 193-8.
  • 17) Shomura H, Kazui K, Tsuruga Y, Sakamoto S, Yabe S. (2017) The outcomes of surgery for lung cancer patients on hemodialysis. Nihon Kokyukigeka Gakkaizasshi 31, 842-6.[in Japanese]
  • 18) Tomizawa K, Sato K, Ohara S, Fujino T, Koga T, Nishino M, Kobayashi Y, Chiba M, Shimoji M, Suda K, Takemoto T, Mitsudomi T. (2019) Life-threatening complications after pulmonary resection for lung cancer in patients on chronic hemodialysis. Surg Today 49, 513-20.
  • 19) Otsuki Y, Kuwahara H, Konn H. (2018) Outcomes, safety, and feasibility of video-assisted thoracic surgery in lung cancer patients on hemodialysis: a case series. Gen Thorac Cardiovasc Surg 66, 48-53.
  • 20) Altorki N, Wang X, Kozono D, Watt C, Landrenau R, Wigle D, Port J, Jones DR, Conti M, Ashrafi AS, Liberman M, Yasufuku K, Yang S, Mitchell JD, Pass H, Keenan R, Bauer T, Miller D, Kohman LJ, Stinchcombe TE, Vokes E. (2023) Lobar or sublobar resection for peripheral stage IA non-small-cell lung cancer. N Engl J Med 388, 489-98.

Others

Address correspondence to Dr. Hidemi Suzuki.
Department of General Thoracic Surgery, Chiba University
Graduate School of Medicine, 1-8-1, Inohana, Chuo-ku,
Chiba 260-8670, Japan.
Phone: +81-43-222-7171 (ext. 5464).
Fax: +81-43-226-2172.
E-mail: hidemisuzukidesu@yahoo.co.jp

go to the top